✅冲土狗的正确姿势
最近Solana链上金狗频出,前有$bome三天市值超10亿美金,后有$Slerf4小时市值破5亿美金,有很多粉丝冲过来问我怎么冲土狗,怎么来抓住一个百倍千倍的金狗。为此我专门花两天时间整理了四 Sol链金狗 $Bome 玩法攻略,今天咱们就简单聊聊·@冲土狗的正确姿势
投资是一门认知课,不断学习才能赚到认知内的马内!
如何科学的冲“土狗"?
关于如何在土狗币交易中获利,并不是只关乎运气的赌博,而是有着一定的科学策略PANews通过梳理土狗项目的旨在为读者提供一个深度的指南
土狗币或称Meme代币,作为很多普通投资者进入加密领域接触的第一个赛道。自开始至今,仍是加密领域持续火热的赛道。其小资金投入的特点降低了投入的门槛,高回报的收益也满足了不少投资者对财富自由的想象。短平快的周期也成为公链热度的晴雨表,如今Solana的火热,一定程度上离不开土狗的助力。如Dogecoin和Shiba Inu等项目,最初被视为社区玩笑,但随后却引发了广泛的市场热潮,创造了大量的“市圈“富翁。
与此同时,土狗币市场的不确定性和风险也相对较高,这就要求投资者不仅要有敏锐的市场洞察力,还需要掌握一定的技术知识和交易策略。关于如何在土狗币交易中获利,并不是只关乎运气的赌博,而是有着一定的科学策略,PANews通过梳理十狗项目的旨在为读者提供一个深度的指南,从建立合理的交易策略、寻找优质项目、识别常见漏洞,到介绍士狗交易的常用工具等方面,全面解析土狗币投资的各个环节.
一.建立科学的合理的交易策略
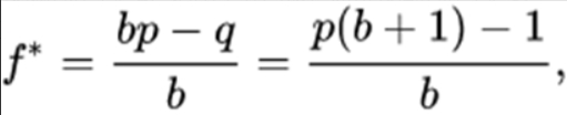
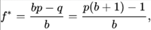
此前,PANews曾以凯利公式的角度解读过以太坊和solana链上土狗每日发币的数量和胜率的计算(相关阅读:)。根据统计结果,以太坊胜率:7/213=3.28%。Solana胜率=1.6%。这样的胜率提示我们不应在土狗项目中进行投资。因此,如果想要通过土狗项目获利,就要考虑胜率与回报率的问题。在这个问题上,一般来说有几种策略。1、追求高回报,容忍较低的胜率。2、追求中等回报,保持较高的胜率,3、较低的回报,但是保持极高的胜率

总体而言,从凯利公式的角度来看。胜率和赔率的乘积减去输率必须要保持在大于0的状况下,这个交易策略才值得投入。通过公示推导我们可以看出:p(b+1)-1>0是硬性条件,也就是p>1/(1+b)。解读一下,当我们追求9倍(除去本金)的回报时,p应该大于10%。否则并不适合投入资金。这里给出的建议是,首先要根据自己的交易习惯和能实现的涨幅空间,推断出一个合理的胜率,并把提升胜率作为自己的目标。如:判断某一类的土狗项目,每次可以可获利的空间约为3倍(除去本金),那么要保持的胜率则需要在33%以上。 确定了胜率目标之后,则是通过可利用的各种工具或者指标寻找一种能够实现这个胜率的方法并进行小资金实验和统计。 当然,除了胜率之外。要进行长久的交易,还需要有科学的仓位管理。在土狗项目中,小仓位是共识,但不可忽略的一点还有链上的手续费和一些工具的优先费(以保障你的交易可以快速达成)。但无论采用如何的仓位投入,都建议投资者在投资的过程中安照一个固定的比例进行投资,而不是固定的金额,因为固定的金额总有一天会亏完,但固定的比例在亏损时能够帮你减少损失。
二.寻找优质的金狗项目
这一部分永远是土狗交易中最核心的部分,也是提升胜率最直接的方法。网络上有不少博主会推荐自己发现的优质土狗,但鲜有教给用户如何寻找金狗的方法。这其中有几个问题,一是没有一个一劳永逸的方法可以源源不断的筛选优质金狗而完全排除土狗。二是,即便有一些好的方法也都是资深玩家的财富秘钥,很少有人愿意无偿贡献。PANews根据市面上主流的一些方法结合探寻十狗项目的本质总结了以下这些方法,以便为读者提供一渔之利。寻找优质的金狗项目。
总结起来是两个思路:
1、排除那些有问题的合约。
2、在没问题的合约里寻找有机会成长为优质项目的机会。
首先,我们来探讨一下,如何排除那些有问题的合约。
有问题的合约,或者上线后短时间内归零的项目一般被称为"垃圾狗“项目。垃圾狗的特点一般有以下几个方面:
1、智能合约编写有问题或故意设置后门。
2、毫无社区基础和热点基因。
合约编写的常见漏洞:
1、未开源:如果一个智能合约的代码没有被公开(未开源),那么外部审计者和用户无法验证合约的功能和安全性。这种不透明性可能隐藏合约中的恶意代码或缺陷。
2、增发功能:如果合约保留了增发功能,则有可能造成项目在发币后所有者通过增发抽走所有代币。
3、貔貅风险:所谓貔貅风险,就是只进不出。很多项目会通过设置白名单、黑名单、暂停交易、防巨鲸、交易税可改等方式让用户买入后无法卖出。这种往往在K线图上看起来盘面蒸蒸日上,但实际上其中的绝大多数用户都无法卖出。
4、0wner没有放弃:0wner可能有能力更新合约代码或改变关键参数,这可能被用来滥用权力,比如修改合约以利己。一个优质的合约应该将owner设置为0x0000..00的地址(当然,一些真正的项目方也会保留0wner权限)
5、DEX流动池太小或没有锁仓:DEX流动池太小会导致交易的流动性不足,容易价格忽高忽低。而如果部署者没有对流动池锁仓,则很可能在运行一段时间后被部署者直接撤走流动性,造成价格瞬间归零。

根据PANews统计,以太坊链上的合约项目,没有存在以上漏洞的占比仅为2%左右 。而Solana链上的合约漏洞要好很多,一般仅有增发、合约权限这两种。因此,如果参与的是以太坊的土狗交易,则不得不重点分析合约的安全问题。当然,现在市面上有很多成熟的分析工具可以分析合约漏洞,交易者要做的就是在每一次交易前都先认真的分析一遍合约安全。

社区基础和热点基因: 作为土狗项目来说,合约安全就像一座建筑的地基。而社区基础则是这栋建筑的外观和容量,只有好的题材、有一定社区基础或热点基因的代币才有可能在土狗项目中脱颖而出。考察一个项目的社区基础的方法有以下几个:
1.从合约中查找社交媒体信息:一般的土狗项目都会在合约中写明自己的社交媒体信息,如推特、电报群、网1.站、白皮书等链接。投资者可以通过查询合约代码看到这些信息。当然,以太坊和Solana的方法不尽相同。 以太坊的一股查找方法:打开以太坊浏览器-输入合约地址-点击Contract按钮-在合约的前几行可以看到关于:Website,Telegram、Twitter等信息的链接,复制这些链接打开浏览器查看。

Solana的查询方法:打开solana浏览器 :https://solscan.i0/
点击Metadata-点击View URI Metadata -在代码中可以看到关于Telegram、Twitter等信息.

2. 找到社交媒体信息后,查看这些社交媒体信息。一般来说,会有一些特点。 网站信息:一般明显粗制滥造的网站明显是由很低廉的成本制作,只能进行简单浏览而不能点击任何选项。或者明显是一个精美的项目方网页,功能齐全,这种情况下要查询官方推特或信息,对比合约地址是否与查询的合约地址一致,以防是仿盘。 推特与telegram:查看粉丝数量及社群人数,一般的垃圾狗的粉丝数量比较少,并且多为新注册的账户。有个别的会购买-定数量的粉丝,但推特的浏览量很低,也几乎没有互动内容。(如果你关注了很多加密领域的KOL,也可以看看有没有加密博主关注这个账号,垃圾狗一般是没有博主关注的)
3. 在网络上通过合约信息查看网络热度 还有一种方法可以查看项目的热度情况,就是在推特或者Telegram上直8.接搜索合约地址,通过搜索到合约信息来判断这个土狗是否有社区基础,如果没有任何的博主讨论这个智能合约,说明这个项目很可能就是一个垃圾狗。
4.避免仿盘 有一些项目看起来的网站信息、推特粉丝量都很好,并且明显是一个非常优质的项目。这个时候第一反应也不要认为自己捡到了宝,还是要进入官方的推特账号或telegram社群确认官方的智能合约地址与你查询到的地址是一致的。很多代币发行者会制作仿盘来吸引粗心的交易者入场,然后利用漏洞收割。
三.寻找优质项目的渠道:
除了上述的排除法之外,还有一些方法可以主动出击,寻找优质的热点和项目。
1. 关注经常引发土狗热点的KOL,如Elon Musk、vitalik及其他的一些加密领域的顶级KOL等,他们发布的一些推特关键词往往会成为热点,并引发一定的十狗效应,但这里雪要注意的是,并不是所有的推特都能成为十狗的关键词,而且要判断这个热点的持久性。这里的逻辑是这样的,这个关键词是否足够热点:如埃隆·马斯克此前在公开场合粗口回应广告商,引发的GFY的热点,引发了全网的讨论,这个热点足够大。因此相应的代币涨幅也潜力更大。另一个重点是,这个热点的持续潜力有多少?仍然以埃隆·马斯克为例,他的新一代AI产品GROK,最终成长为一个头部的meme币,其中的原因在于这个关键词会随着AI产品的上线持续被马斯克提及,因此热点效应也会更持久
2. 关注当日交易频次很高的项目也是筛选金狗的一个好方法。有时候一些热点的信息传播来源并不清楚的时2候,可以通过筛选当日一些DEX交易的情况来查看,比如通过一些工具筛选条件设定:最近1小时上线的代币,然后查找其中交易频次和交易量最高的代币进行分析。
3跟踪一些专业土狗玩家的地址:站在别人的肩膀上获利是一个更省事的方法,现在有不少工具都提供跟踪其他地址的功能。通过追踪聪明钱地址来获取优质项目的信息也是一个不错的方法。但这个方法并不意味着可以省去切分析,因为土狗的涨跌往往瞬息万变,前一秒买入和后一秒买入的效果往往存在天壤之别。而那些持续赚钱的聪明钱地址也知道别人会关注他们的操作,因此即便看到一些聪明钱对某些项目买入后,也要重新按照上述的方法对合约安全和社区基础等方面进行详细的分析再做出交易,
四、抓金狗仓位管理策略:
1、翻倍必须出本,再翻倍出一半利润,剩余的可以选择性格局,你要明白,翻倍的机会每天都有,但是你的本金只有那么多。
2玩新不玩旧,只玩新狗,不看老狗,赚到一波就跑,涨再多也不看,拿到手里的利润才叫利润,没有到手的只叫数字。
3、绝不追高,不能看到涨了去追涨,跌了就去杀跌,追高容易挂山顶,跌了容易归零,所以千万不能追高,注意风控。
4、绝对不能FOMO,绝对不能格局,格局的最后只有死路一条,你和庄家格局,庄家其实只想收割你。
5、小池子的风险大,翻倍马上跑,或者有利润马上跑,坚决不要想着会多少倍,老鼠仓会砸得你怀疑人生。
6、坚决不和穷项目方玩,舍不得做营销的项目方的项目整死也不能玩,连营销都舍不得做,还指望他拉盘?
7、尽量不玩预售盘,进去大概率会接盘,项目方预售100e然后底池加一半自己稳赚50e,他凭什么来给你拉盘?所以只有等预售都出来后去捡垃圾,可能还有点搞头。
8、尽量玩大池子的项目,哪怕跌也不会像小池子那样血本无归,最最重要的是现在的土狗基本都是一波流,睡觉前一定要清仓钱包,保住你的本金,否则可能第二天起来发现归零了
9、尽是控制好冲狗的频率,一天冲一两个就好,赚了就跑,一定要记得赚的钱最好提现出一半换成RMB,因为这些才是你真正到手的利润。
如果你按照以上的方法来操作,大概率是会赚钱的。
五、交易时的策略
寻找好的交易标的并不能保障就能在土狗赛道里一定盈利,金融投资中有一句经典的俗语:"会买的是徒弟,会卖的才是师傅”。接下来,我们分析一下关于买入和卖出时的交易策略选择。
买入时的交易策略:
在买入时往往有两种选择,一种是追求极致的快,一种是追求稳。
追求极致的快:在代币上线的第一时间就进行买入,这个时候可能会买在最低点,一旦代币的盘面能够稳住,那么 曰越早买入的交易者相对来说的获利可能性也越高。但这里还存在着几个问题。
1、越早买入的风,险会增加。因为很多土狗项目的发币过程很短,从部署合约到上线交易不过几分钟。在这短短的几分钟内,很难判断一个项目的优质与否,甚至有些项目在最初的时候合约看起来是没问题的,上线交易一段时间后合约所有者会通过修改合约来收割用户,
2、被科学家夹到高位。有很多专业的土狗交易科学家通过程序,调高交易的Gas费和滑点以保障第一时间买入,而普通用户往往不愿支付太高的手续费和滑点,导致购买的价格会比最低点高出很多倍,极有可能买在最高点上。因此,除非你有很丰富的抢首发经验,否则不推荐第一时间买进(即便你有交易机器人)。
追求稳定:另一种风格的交易思路。就是避开第一时间买入,而是选择让子弹飞一会,在开盘后分析合约安全、社区热度及盘面等情况,判断这个项目稳定后再选择入手。这样做的好处是不容易买到貔貅盘,缺点是可能会错失一个好的机会或点位。但从土狗项目的盘面特点来看,一般情况下,土狗项目在开盘后几分钟内会经历一波获利盘出逃,价格会大幅回调,这时候也能为求稳的交易者提供一些更合理的交易价格。
卖出时的交易策略:
土狗币卖出是一个关键的问题,很多交易者好不容易选对了项目,最终不是卖的早就是卖的晚,常常出现"卖飞”的现象。
关于卖出也有几个常见的策略:
1. 翻倍出本,跌半止损。这是土狗玩家用的比较多的一个交易策略,当购买的价格涨幅超过1倍时,选择抽出J本金,剩下的利润则保持在盘面里继续发展,这样可以保障自己的本金安全。或者选择价格下跌50%时卖出全部以保留资金。值得注意的是,这里要记得把交易手续费也计算入内。
2. 根据预设赔率卖出。前文我们提到采用凯利公式的胜率和赔率计算投入比例。因此在卖出时也可以根据严格2的交易策略进行执行。比如在某个交易策略下,交易的胜率为40%,那为了保持持续的盈利可能,交易者的赔率要至少保持在2.5倍以上(不含本金)。只有在这种情况下才能持续获利。
六、币圈土狗币的判断标准 实战经验总结
冲了50个土狗,失败35个,成功15个,研究了几十个土狗,总结土狗项目判断10准则
1.合约地址越多越好,至少3个以上;
2.有官网、推特、电报、facebook,白皮书、代码开源、github代码更新;
3.空投少,没有预售、私募、IDO,大家在同一起跑线;
4.dextool评分高于95:
5.池子在40万U以上;
6.持币地址大多整数,代表这个项目有sm,可能在上线后会有砸盘:7.LP必须有锁仓,时间越长数量越大越好
8.社群活跃度越高越好,判断社群是真人还是假人在说,说话是否有规律,是否只是cx让人买:
9.项目方如果披露了负责人,查查负责人资料是否真实,领英资料都可以作假,看历史工作经历是否多,互动是否逕⌒Ш誉舞鹼鉍妳∴塏
10.不要幻想拿住一个土狗几个月或一年就能涨几百倍几千倍暴富,那种可遇不可求,99%都是割韭菜的,涨几倍就卖,别贪恋,去寻找下一个
七、常用的工具类型:
土狗币的交易如今也随着加密市场的成熟涌现出越来越多的工具,选用不同的工具有时就能成为打败其他交易者的核心优势。以下为常用的一些工具类型和能够实现的功能介绍。有动手能力的交易者也可以根据这些原理来开发自己合适的工具类型。
1. 合约安全类工具:这类工具主要用于查询合约代码的安全问题,用于在最开始分析合约代码是否存在漏洞问题。基本的一些看盘工具目前都集成了这些功能。
以太坊:https://gopluslabs.io/ https://honeypot.is/
Solana: https://birdeye.so/ https://www.dextools.io/ https://dexscreener.com/
2. 土狗交易机器人:通过这些交易机器人,用户可以更快速的参与土狗交易,但由于链上交易的限制,这些交2易机器人都需要获得用户的私钥,因此在使用这些交易机器人时要仔细判断安全性,并保障放入少量资金。另外,还需设定好合理的滑点和Gas费率标准。
Unibot、pepeboost、Banana Gun等
3.合约筛选推送:这些工具是Telegram机器人的形式,可以在合约上线的第一时间推送最新的合约信息,这样3.可以在第一时间捕获最新的土狗项目,但仍需要交易者对土狗项目进行进一步分析。https://t.me/SolanaNewListing https://t.me/bounty hunter text bot
4.链上热度查询:这些工具具有统计功能,可以看到当前市场中最火热的土狗项目有哪些,适用于寻找那些已4经上线的土狗项目,值得注意的是,即便交易热度高的项目也不一定是优质的。
https://77dao.io/ https://www.coinscan.com/
5. 聪明钱地址追踪:这些工具可以通过分析追踪一些聪明钱包的交易活动帮助用户寻找新的交易标的,但基本都是收费的,并且正如前文所述,聪明钱地址并不能保证你一定会赚钱,有时候反而会增加更多成本。
https://pc.diting.ai/ https://www.candlestick.io/
6. 浏览器及API接口:
以太坊:https://etherscan.io/ https://www.infura.io/
Solana: https://solscan.io/ https://getblock.io/
重要提示:
土狗交易中存在着巨大的交易风险,即便采用了各种工具和项目筛査策略,也无法保障在其中能够稳定的收益。因此,在决定是否要进行土狗入场之前,最好对这个赛道进行充分分析和了解,形成一套个人习惯的交易策略。在进行土狗交易的过程中,可能每天需要花费大量的时间对链上信息进行追踪分析,这个过程相对枯燥。因此,在土狗交易中,需要投入的绝不仅仅是金钱,还有大量的时间和精力。 以上内容不作为投资建议,请诸君合理判断。
⚠注:部分用户打不开文档或链接,可能是您所属的国家地区被限制,请用梯子🪜科学上网即可打开使用!
本站由TY DAO 持续维护更新,随时可通过www.tydao.xyz访问,关注TY DAO获取离赚钱最近的资讯,掌握财富密码,加入TY DAO一起慢慢变富。
最后更新于
这有帮助吗?